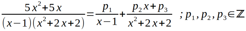
BlogHide Reblurtsozelot47 in # deutsch • 6 months ago • 2 min readTaylorpolynom bestimmenDeutsch Mit dem Taylorpolynom kann man jede beliebige komplizierte Funktion näherungsweise durch eine Polynomfunktion vom Grad n bestimmen. Je höher die Ordnung des Taylorpolynom, desto genauer…ozelot47 in # deutsch • 6 months ago • 2 min readBeweisverfahren: Vollständige InduktionDeutsch Die vollständige Induktion ist ein mathematisches Beweisverfahren über die Menge der natürlichen Zahlen, mit der eine Aussage A(n) bewiesen wird. So eine Aussage können Reihen, Folgen…ozelot47 in # deutsch • 8 months ago • 3 min readUngleichung mit zwei BeträgenDeutsch Kommt in einer Ungleichung mehr als ein Betrag vor, so ist eine Verkettung von Fallunterscheidungen notwendig. Dieses Beispiel ist etwas komplizierter, sodass ich eine Übersicht erstellt…ozelot47 in # deutsch • 9 months ago • 1 min readPartialbruchzerlegung mit Grenzwertmethode sowie Koeffizientenvergleich und vorgegebenen PartialbrüchenDeutsch Heute schauen wir uns mal ein Beispiel für eine Partialbruchzerlegung an. Bei dieser Methode geht es darum einen komplizierten Bruch in kleinere Bestandteile aus Summen zu zerlegen. Dies…ozelot47 in # deutsch • 9 months ago • 1 min readParametrisierte Wurzelgleichung lösenDeutsch Befindet sich neben einer unbekannten Variable (meist x) noch ein Parameter, so löst man die Wurzelgleichung weiterhin nach der unbekannten x auf. Den Parameter behandelt man wie es eine…ozelot47 in # photography • 9 months ago • 1 min readWanderung vorbei an Weizen- und RoggenfelderDeutsch Am Sonntag hatte ich Lust auf eine Wanderung an den Wiesen und Feldern. Dabei habe ich einige Weizenfelder und Roggenfelder entdeckt. Es war eine schöne Abwechselung, da ich sonst…ozelot47 in # photography • last year • 1 min readOsterglocken... Nein Narzissen schmücken die GärtenDeutsch Immer wieder verwechsel ich die Osterglocken mit den Narzissen. Optisch sehen sie fast identisch aus nur dass Narzissen kleiner sind als Osterglocken und auch ein paar Wochen früher blühen.…ozelot47 in # photography • last year • 1 min readEin kurzer WintergrußDeutsch Letzte Woche gab es einen kurzen Wintereinbruch. Am Freitag hat es noch ordentlich geschneit und am Samstag ging es in den regen über. Ich nutzte vor dem tauen die Gelegenheit um in den…ozelot47 in # photography • last year • 1 min readTour mit einem SegelflugzeugDeutsch Am Wochenende gab es für dieses Jahr die letzte Gelegenheit für eine Tour mit einem Segelflugzeug. Eine Freundin ist mitgeflogen, aber ich bin auf dem Boden geblieben. Wobei das Flugzeug ja…ozelot47 in # blog • 2 years ago • 1 min readBeeindruckender WasserfallDeutsch Als ich auf den kahlen Asten unterwegs war, bin ich unter anderem an diesen schönen Wasserfall vorbei gekommen. Man konnte eine angenehme kühle brise spüren. Ideal um sich etwas abzukühlen…ozelot47 in # blurtgaming • 2 years ago • 1 min readAnemoiapolis: Chapter 1, A huge underground mazeThe first two places are some underground pools and a golf club with an endless amount of holes? And at the beginning the meadows with the clouds look like the desktop background from windows xp.…ozelot47 in # blurtgaming • 2 years ago • 2 min readAmanda the Adventurer, Part 1: Let's make Amanda angryJoin Amanda and her pal Wooly on a series of adventures as they explore and learn about our wonderful world! With several NEW play-along, laugh-along, learn-along episodes there's always fun to be…ozelot47 in # blurtgaming • 2 years ago • 1 min readI'm on Observation Duty 5 - HouseA spot the difference -type of puzzle horror game about monitoring live surveillance camera footage and spotting anomalies. Anomalies range from furniture movement to intruders. Fix anomalies by…ozelot47 in # deutsch • 2 years ago • 3 min readEin Taskrunner in Java: Priorität beachtenMit der Klasse Tasklist werden alle zuvor erstellten Tasks in einer Liste verwaltet, die dann abgearbeitet werden können. Das Herzstück ist die addTask-Funktion. Dabei wird zunächst überprüft ob…ozelot47 in # deutsch • 2 years ago • 2 min readEin simpler Taskrunner in Java: TaskDiese kleine Java Anwendung soll simulieren wie eine Task verarbeitet werden kann die nicht nur eine zugeordnete Dauer, sondern auch noch eine Priorität hat. Eine höhere Priorität hat dabei immer…ozelot47 in # blurtgaming • 2 years ago • 1 min readI'm on Observation Duty 5 - MarketA spot the difference -type of puzzle horror game about monitoring live surveillance camera footage and spotting anomalies. Anomalies range from furniture movement to intruders. Fix anomalies by…ozelot47 in # photography • 2 years ago • 1 min readWilder JohanniskrautDeutsch Bei meinem letzten Rundgang habe ich einige Büsche wilden Johanniskraut gefunden. Sie wachsen zwischen Butterblumen und hohen Gras. Ich habe gelesen dass der Johanniskraut eine…ozelot47 in # photography • 2 years ago • 1 min readEine AmpelblumeDeutsch Ich habe im Park diese Pflanzen gefunden deren Blütenfarben wie eine Ampel angeordnet ist. Sieht ein bisschen wie Spargel aus nur dass die Spitzen bunt sind. Aber auch in einigen Gärten…ozelot47 in # blurtgaming • 2 years ago • 1 min readRemorse: The List - Playing dice game with FatherRemorse: The List is a classic survival horror game where the player must figure out what is happening in the little hungarian town of Hidegpuszta, and your only clue is a list that doesn't make…ozelot47 in # photography • 2 years ago • 1 min readBesuch am RhododendronhügelDeutsch Ich besuchte ein Garten wo viele bunte Rhododendren wachsen. Letztes Jahr war ich auch dort. In diesem Garten wachsen auch nicht einheimische Varianten dessen Blüten kleiner sind als die…