• Sign in
  • Sign up 
  • Post
  • Welcome 
  • FAQ 
  • All Posts
  • Trending Tags
  • Explore Communities
  • Blurb Microblog 
  • Blurt Comments 
  • dApps
  • Change Account Password 
  • Account Recovery Tools 
  • Vote for Witnesses 
  • Vote for Proposals 
  • GitLab 
  • Blurt Discord Server 
  • Block Explorers
  • Blurt Explorer 
  • Ecosynthesizer 
  • Third-party exchanges:
  • Hive Engine 
  • Tribaldex 
  • BeeSwap 
  • Blurt Swag:
  • Logo Merch 
  • Text Merch 
    • Privacy Policy
    • Terms of Service
    Logo
    • Posts
    • AI
    • Communities
    • Witnesses
    • dApps
    LoginSign up

    ozelot47

    300 followers3053 posts158 following428494 BP

    peakd.com/@ozelot47 Joined July 2020 Active 12 minutes ago

    • Blog
    • Posts
    • Comments
    • Replies
    • Account Info
    • Communities
    • Rewards
      • Curation rewards
      • Author rewards
    • Wallet
    • ozelot47 memberin Curators Community • 3 hours ago •  1 min read
      thumbnail

      Obscuritas: Out of Map

      Obscuritas stammt von denselben Entwicklern von VIS Games die auch Pineview Drive und TheNightfall veröffentlichten. Als Sarah das alte Landhaus ihres Großonkels erbt, ahnt sie nicht welch einem…
      209.09 BLURT
      • Pending payout amount: 209.09 BLURT
      • Breakdown:
      • - Author 104.54 BP
      • - Curators 104.54 BP
      • Beneficiaries:
      • - blurt-192372: 3.00%
      • Payout in 7 days
       0$0.28
    • ozelot47 memberin Curators Community • 4 days ago •  1 min read
      thumbnail

      Endlich wieder Frühling

      Deutsch Endlich ist es wieder soweit. Die Zeit in der man öfter im Garten ist und häufiger wandern gehen kann. Auch wenn die Nächte noch leicht frostig sind, kündigt sich der Frühling mit…
      446.96 BLURT
      • Pending payout amount: 446.96 BLURT
      • Breakdown:
      • - Author 223.48 BP
      • - Curators 223.48 BP
      • Beneficiaries:
      • - blurt-192372: 3.00%
      • Payout in 3 days
       0$0.61
    • ozelot47 memberin Curators Community • 7 days ago •  1 min read
      thumbnail

      Obscuritas (17): Das Portal schließen

      Obscuritas stammt von denselben Entwicklern von VIS Games die auch Pineview Drive und TheNightfall veröffentlichten. Als Sarah das alte Landhaus ihres Großonkels erbt, ahnt sie nicht welch einem…
      516.93 BLURT
      • Pending payout amount: 0.00 BLURT
      • Breakdown:
      • - Author 0.00 BP
      • - Curators 0.00 BP
      • Beneficiaries:
      • - blurt-192372: 3.00%
      • Payout 1 hour ago
       1$0.70
    • ozelot47 memberin Curators Community • 14 days ago •  1 min read
      thumbnail

      Obscuritas (16): Der Metzgermeister

      Obscuritas stammt von denselben Entwicklern von VIS Games die auch Pineview Drive und TheNightfall veröffentlichten. Als Sarah das alte Landhaus ihres Großonkels erbt, ahnt sie nicht welch einem…
      397.76 BLURT
      • Pending payout amount: 0.00 BLURT
      • Breakdown:
      • - Author 0.00 BP
      • - Curators 0.00 BP
      • Beneficiaries:
      • - blurt-192372: 3.00%
      • Payout 7 days ago
       0$0.54
    • ozelot47 memberin Curators Community • 17 days ago •  1 min read
      thumbnail

      Die Riemann Summe (Integralrechnung)

      In diesem Beispiel soll eine Fläche mit der Riemann Summe berechnet werden. Das Prinzip besteht darin, dass man den Bereich [a;b] in unendlich viele Rechtecke zerlegt. Diese unendlich vielen…
      450.79 BLURT
      • Pending payout amount: 0.00 BLURT
      • Breakdown:
      • - Author 0.00 BP
      • - Curators 0.00 BP
      • Beneficiaries:
      • - blurt-192372: 3.00%
      • Payout 10 days ago
       0$0.61
    • ozelot47 memberin Curators Community • 21 days ago •  1 min read
      thumbnail

      Obscuritas (15): Lauf Sarah! Lauf!

      Obscuritas stammt von denselben Entwicklern von VIS Games die auch Pineview Drive und TheNightfall veröffentlichten. Als Sarah das alte Landhaus ihres Großonkels erbt, ahnt sie nicht welch einem…
      406.55 BLURT
      • Pending payout amount: 0.00 BLURT
      • Breakdown:
      • - Author 0.00 BP
      • - Curators 0.00 BP
      • Beneficiaries:
      • - blurt-192372: 3.00%
      • Payout 14 days ago
       0$0.55
    • ozelot47 memberin Curators Community • 22 days ago •  1 min read
      thumbnail

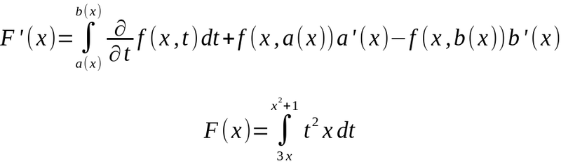
      Leibnizregel für Parameterintegrale (Integralrechnung)

      Ein Parameterintegral ist ein Integral dessen Integrand neben der Variable noch einen Paramter beinhaltet. Ein Parameter ist ein Wert der fest aber beliebig ist. Er kann immer wieder für den…
      342.44 BLURT
      • Pending payout amount: 0.00 BLURT
      • Breakdown:
      • - Author 0.00 BP
      • - Curators 0.00 BP
      • Beneficiaries:
      • - blurt-192372: 3.00%
      • Payout 15 days ago
       0$0.47
    • ozelot47 memberin Curators Community • 26 days ago •  1 min read
      thumbnail

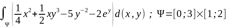
      Mehrdimensionale Integration (Integralrechnung)

      Hat man eine Funktion im Integral mit zwei oder mehr Variablen, so handelt es sich um eine Mehrdimensionale Integration. So ein Integral wird gelöst, indem man zuerst die Funktion nach einer…
      395.89 BLURT
      • Pending payout amount: 0.00 BLURT
      • Breakdown:
      • - Author 0.00 BP
      • - Curators 0.00 BP
      • Beneficiaries:
      • - blurt-192372: 3.00%
      • Payout 19 days ago
       0$0.54
    • ozelot47 memberin Curators Community • 28 days ago •  1 min read
      thumbnail

      Obscuritas (14): Verschmolzene Welten

      Obscuritas stammt von denselben Entwicklern von VIS Games die auch Pineview Drive und TheNightfall veröffentlichten. Als Sarah das alte Landhaus ihres Großonkels erbt, ahnt sie nicht welch einem…
      336.94 BLURT
      • Pending payout amount: 0.00 BLURT
      • Breakdown:
      • - Author 0.00 BP
      • - Curators 0.00 BP
      • Beneficiaries:
      • - blurt-192372: 3.00%
      • Payout 21 days ago
       0$0.46
    • ozelot47 memberin Curators Community • last month •  1 min read
      thumbnail

      Partielle Integration (Integralrechnung)

      Die Partielle Integration wird auch Produktintegration genannt. Damit ist es möglich zwei Funktionen zu integrieren, indem man von einer Funktion die Ableitung und von der anderen Funktion die…
      251.90 BLURT
      • Pending payout amount: 0.00 BLURT
      • Breakdown:
      • - Author 0.00 BP
      • - Curators 0.00 BP
      • Beneficiaries:
      • - blurt-192372: 3.00%
      • Payout 23 days ago
       0$0.34
    • ozelot47 memberin Curators Community • last month •  1 min read
      thumbnail

      Unbekannte Integrationsgrenze (Integralrechnung)

      Im Normalfall kennt man die Integrationsgrenzen als feste aber beliebige Zahlen. Es kann auch vorkommen, dass eine Integrationsgrenze unbekannt ist. In diesem Fall bildet man wie gewohnt die…
      410.92 BLURT
      • Pending payout amount: 0.00 BLURT
      • Breakdown:
      • - Author 0.00 BP
      • - Curators 0.00 BP
      • Beneficiaries:
      • - blurt-192372: 3.00%
      • Payout 25 days ago
       0$0.56
    • ozelot47 memberin Curators Community • last month •  2 min read
      thumbnail

      Please review your witness votes / Witness Votes überprüfen

      Over time, the witnesses, the users responsible for confirming the blocks on the blockchain, change. Without these witnesses, nothing works here. The blockchain would come to a standstill. They…
      411.78 BLURT
      • Pending payout amount: 0.00 BLURT
      • Breakdown:
      • - Author 0.00 BP
      • - Curators 0.00 BP
      • Beneficiaries:
      • - blurt-192372: 3.00%
      • Payout 28 days ago
       0$0.56
    • ozelot47 memberin Curators Community • last month •  1 min read
      thumbnail

      Obscuritas (13): Zurück daheim, doch irgendetwas stimmt hier nicht

      Obscuritas stammt von denselben Entwicklern von VIS Games die auch Pineview Drive und TheNightfall veröffentlichten. Als Sarah das alte Landhaus ihres Großonkels erbt, ahnt sie nicht welch einem…
      265.86 BLURT
      • Pending payout amount: 0.00 BLURT
      • Breakdown:
      • - Author 0.00 BP
      • - Curators 0.00 BP
      • Beneficiaries:
      • - blurt-192372: 3.00%
      • Payout 28 days ago
       0$0.36
    • ozelot47 memberin Curators Community • last month •  1 min read
      thumbnail

      Das uneigentliche Integral (Integralrechnung)

      Ein Integral nennt sich uneigentlich, falls eine oder beide Integrationsgrenzen entweder unendlich sind, oder eine Definitionslücke beinhalten. Mit einem (un)bestimmten Integral lassen sich diese…
      334.14 BLURT
      • Pending payout amount: 0.00 BLURT
      • Breakdown:
      • - Author 0.00 BP
      • - Curators 0.00 BP
      • Beneficiaries:
      • - blurt-192372: 3.00%
      • Payout last month
       0$0.45
    • ozelot47 memberin Curators Community • last month •  1 min read
      thumbnail

      Das bestimmte Integral (Integralrechnung)

      Die Integralrechnung ist das Gegenstück zur Differentialrechnung und wird verwendet, um eine Fläche zwischen zwei Funktionen oder eine Fläche zwischen einer Funktion und x-Achse zu berechnen. Um…
      463.77 BLURT
      • Pending payout amount: 0.00 BLURT
      • Breakdown:
      • - Author 0.00 BP
      • - Curators 0.00 BP
      • Beneficiaries:
      • - blurt-192372: 3.00%
      • Payout last month
       0$0.63
    • ozelot47 in GAMERS & GAMING • last month •  1 min read
      thumbnail

      Obscuritas (12): Geisterbahn und Höllenhunde

      Obscuritas stammt von denselben Entwicklern von VIS Games die auch Pineview Drive und TheNightfall veröffentlichten. Als Sarah das alte Landhaus ihres Großonkels erbt, ahnt sie nicht welch einem…
      271.75 BLURT
      • Pending payout amount: 0.00 BLURT
      • Breakdown:
      • - Author 0.00 BP
      • - Curators 0.00 BP
      • Beneficiaries:
      • - blurt-152875: 3.00%
      • Payout last month
       0$0.37
    • ozelot47 memberin Curators Community • last month •  1 min read
      thumbnail

      Dimension eines Vektorraumes (Vektorraum)

      Die Dimension eines K-Vektorraumes ist die endliche Länge seiner Basis B. Wenn ein Vektorraum keine endliche Basis besitzt, so ist die Dimension unendlich. Eine Dimension bedeutet nicht wieviele…
      403.83 BLURT
      • Pending payout amount: 0.00 BLURT
      • Breakdown:
      • - Author 0.00 BP
      • - Curators 0.00 BP
      • Beneficiaries:
      • - blurt-192372: 3.00%
      • Payout last month
       0$0.55
    • ozelot47 memberin Curators Community • 2 months ago •  1 min read
      thumbnail

      Wölfe in den Wäldern

      Deutsch Gestern Morgen hatte ich Lust auf einen Spaziergang in den Wäldern. Erst als ich wieder zurückgegangen bin, habe ich dieses Warnschild gesehen dass es Wölfe in den Wäldern geben soll.…
      386.75 BLURT
      • Pending payout amount: 0.00 BLURT
      • Breakdown:
      • - Author 0.00 BP
      • - Curators 0.00 BP
      • Beneficiaries:
      • - blurt-192372: 3.00%
      • Payout last month
       1$0.53
    • ozelot47 memberin Curators Community • 2 months ago •  1 min read
      thumbnail

      Obscuritas (10): Achterbahn des Horrors

      Obscuritas stammt von denselben Entwicklern von VIS Games die auch Pineview Drive und TheNightfall veröffentlichten. Als Sarah das alte Landhaus ihres Großonkels erbt, ahnt sie nicht welch einem…
      409.14 BLURT
      • Pending payout amount: 0.00 BLURT
      • Breakdown:
      • - Author 0.00 BP
      • - Curators 0.00 BP
      • Beneficiaries:
      • - blurt-192372: 3.00%
      • Payout last month
       0$0.56
    • ozelot47 memberin Curators Community • 2 months ago •  1 min read
      thumbnail

      Basis eines Vektorraumes (Vektorraum)

      Bevor wir eine Basis eines Vektorraumes bestimmen benötigen wir die Definition eines Erzeugendensystem. Eine Teilmenge B aus einem Vektorraum V heißt Erzeugendensystem, wenn die lineare Hülle aus…
      546.04 BLURT
      • Pending payout amount: 0.00 BLURT
      • Breakdown:
      • - Author 0.00 BP
      • - Curators 0.00 BP
      • Beneficiaries:
      • - blurt-192372: 3.00%
      • Payout last month
       0$0.74