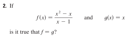
#stemUnmoderated tagAll PostsTrending TagsExplore Communitieshive-193552Curators Communityhive-196037Blurt LifeStyleBlurt SpaceBlurtconnect Comm...EcoerNewVisionLifePhotography LoversBlurt BoosterNature LoversBlurttribe community#stemTrendingHotNewMutedPayoutAIhealthstate in # health • 2 months ago • 2 min readGlucotonic Review: Can This Supplement Really Help With Blood Sugar and Weight?Glucotonic is a daily capsule supplement made by Nutrix Lifestyle. It is designed to support healthy blood sugar levels.blurt.media in # meme • 3 months ago • 2 min readGet paid to Blog on Blurt and Baseby @offgridlife on OGMedia View my bio on Blurt.media: Music and Math … Coffee’s cold Deadline gone Typing like a raccoon That found the “on” Got my slippers on the table And my cat…walterprofe in STEM • 9 months ago • 1 min read📘 Calculus – Stewart 7th Edition: Problem 1.1.2 – Four Ways to Represent a FunctionHey Blurt community! 👋 Here’s another interesting function-based problem from Section 1.1: Four Ways to Represent a Function in James Stewart’s Calculus (7th Edition) . This exercise…walterprofe in STEM • 9 months ago • 1 min read📘 Calculus – Stewart 7th Edition: Problem 1.1.1 – Four Ways to Represent a FunctionHi Blurt community! 🙌 Today I’m tackling a classic from one of the most widely used Calculus textbooks: James Stewart’s Calculus, 7th Edition . This post focuses on Problem 1.1.1 , from the…epodcaster in # stem • 4 years ago • 1 min readLunar Eclipse and Other Night Sky ViewingGreat tips from NASA about what we can spot when we look uptrumpman in # stem • 4 years ago • 1 min readLet's grow some crystals! Day #1Found this old science kit today on my attic that supposedly lets you grow your own crystals. My wife bought it a couple years ago and like with so many other things, forgot it's existence. Okay…walterprofe in # stem • 5 years ago • 1 min readProblemas de números Ejemplo 01Hola amigos de Blurt. Vamos hoy a ver el cómo resolver problemas con ecuaciones lineales.walterprofe in # stem • 5 years ago • 1 min readSimplificación de Radicales Ejemplo 01Vamos a calcular una simplificación de radicales.walterprofe in # stem • 5 years ago • 1 min readEliminación Gaussiana Método Gauss-Jordan Ejemplo 4Vamos hoy con un método que me pidieron en el canal.walterprofe in # stem • 5 years ago • 1 min readSistemas de Ecuaciones Lineales 2x2 Método de Igualación Ejemplo 01Hola Blurt, vamos con un sistema de ecuaciones.walterprofe in # stem • 5 years ago • 1 min readEcuaciones lineales con fracciones Ejemplo 06Hola amigos de Blurt. Seguimos con un ejemplo más de ecuaciones lineales con fracciones.vermithrax in # stem • 5 years ago • 1 min readQueering MathematicsSo how does “Queering Mathematics” work? Is it “2 + 2 = 5” by any chance? I tell you what: Alan Turing didn't do gay logic, gay math and gay computer science. Alan Turing did logic, math…walterprofe in # stem • 5 years ago • 1 min readEcuaciones lineales con fracciones Ejemplo 05Hola Blurt, vamos el día de hoy con una ecuación de fracciones y un pequeño truco de cómo resolverlas rápido.walterprofe in # stem • 5 years ago • 1 min readEcuaciones lineales con fracciones Ejemplo 04Hi Blurt. We are going to solve an another equation.walterprofe in # stem • 5 years ago • 1 min readEcuaciones lineales con fracciones Ejemplo 03Hi Blurt, we are going to study algebra.walterprofe in # stem • 5 years ago • 1 min readEcuaciones lineales con fracciones Ejemplo 02Vamos con una ecuación con fracciones.walterprofe in # stem • 5 years ago • 1 min readFunción cuadrática Intersecciones y Raíces (Fórmula general) Ejemplo 02Vamos con una de funciones.walterprofe in # stem • 5 years ago • 1 min readEcuaciones Lineales con signos de agrupación Ejemplo 04Hola amigos de Blurt. Seguimos avanzando en nuestro curso de álgebra.walterprofe in # stem • 5 years ago • 1 min readEcuaciones Lineales con signos de agrupación Ejemplo 03Hola amigos de Blurt. Vamos con un ejercicio con signos de agrupación.walterprofe in # stem • 5 years ago • 1 min readEcuaciones Lineales Ejemplo 11Hola amigos, vamos a resolver una ecuación lineal.